近日,中汽中心工程院在車輛動力學仿真領域開發出了新的襯套模型,可以在零部件領域有效提升車輛動力學仿真精度。


圖1 襯套模型
目前,車輛動力學仿真技術是汽車產品研發中不可或缺的一環,在車輛動力學精準化建模中,工程師們主要關注底盤襯套、減震器等零部件的建模方法,但其“精準度不高”是困擾許多從事仿真和開發工作人員的重要問題。
針對此現狀,中汽中心工程院新型底盤研究團隊開發出了一種新的襯套模型,并成功封裝為Adams內置插件。開發人員可以簡便地使用此插件大幅提升襯套模型的仿真精度。
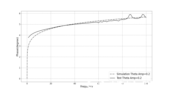
相較于Adams內置的襯套建模方法,該襯套模型采用的是半經驗模型辨識方法,使用了全新的摩擦力與阻尼力算法,可精準描述襯套靜剛度、摩擦滯環、動剛度、阻尼等特性,其靜態力學特性可達95%,動態力學特性可達90%。


圖2 靜態力學特性模型與試驗結果對比


(a)動剛度對比 (b)相位角對比
圖3 動態力學特性模型與試驗結果對比


(a)動剛度曲面 (b)相位角曲面
圖4 襯套動剛度與相位角特性曲面
在實際工程應用中,此插件可應用于車輛底盤操穩、平順性開發、虛擬試驗場仿真與載荷分解等場景。目前,已在行業內進行了內測并成功完成商業落地。歡迎廣大開發人員垂詢!

(a)載荷分解 (b)虛擬試驗場 (c)底盤操穩與平順性
圖6 應用場景
聯系我們:高明武
18632283172 gaomingwu@catarc.ac.cn
